Comparison Testing
To further compare different Enforcers in real scenarios, we used the Phoronix Test Suite (PTS) to conduct a series of automated performance tests on some common loads (Redis, Apache, etc.).
Test Environment
- Cluster version: v1.26.10-vke.18
- Number of nodes: 3
- Nodes with AppArmor & BPF LSM enabled by default
- Node specifications: ecs.g3i.xlarge (4vCPU 16GiB)
Test Scenarios
In this round of testing, we performed horizontal comparisons of two enforcers: AppArmor and BPF. Each enforcer was tested in three typical scenarios, including AlwaysAllow, RuntimeDefault, and EnhanceProtect. The policies for each scenario are as follows:
-
Init Benchmark
No policy applied
-
AlwaysAllow
Tested with AlwaysAllow Mode, no rules enabled
-
RuntimeDefault
Tested with RuntimeDefault Mode, no rules enabled
-
EnhanceProtect
Tested with EnhanceProtect Mode, with the following rules enabled:
- disable-cap-privilege
- disallow-umount
- disallow-access-procfs-root
- mitigate-disk-device-number-leak
- mitigate-sa-leak
- mitigate-overlayfs-leak
- mitigate-host-ip-leak
- disallow-metadata-service
- cgroups-lxcfs-escape-mitigation
- runc-override-mitigation
In addition, we also tested the Seccomp enforcer with the currently available four rules. This test is for reference only and is not used as a performance benchmark or comparison.
The policy files used for the tests can be found in the test/perf/policy directory.
Test Steps
We wrote a bash script to automate the testing process, which mainly completes the following tasks:
- Create and delete Pods in the Kubernetes cluster.
- Apply and remove different security policies.
- Initialize test configurations, install test tools, and run the Phoronix Test Suite.
- Record the test results.
Specifically, for the Init Benchmark, BPF, and Seccomp modes, we used different Pod configurations and enabled container.apparmor.security.beta.kubernetes.io/phoronix: unconfined to ensure AppArmor was not enabled, avoiding the default AppArmor profile from affecting the test results.
You can find the Pod definitions and Phoronix runtime configurations in the test/perf/policy directory. The automation test script is also located in the test/perf directory. Additionally, we have written separate test scripts for sysbench and unixbench, which you can use if you are interested in conducting your own tests.
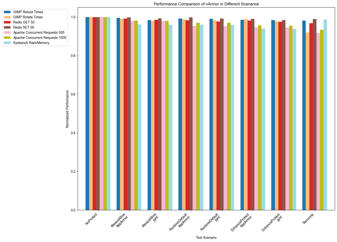
Test Results
- EnhanceProtect: The performance of BPF decreased by about 1.2% compared to AppArmor.
- RuntimeDefault: The performance of BPF decreased by about 0.6% compared to AppArmor.
- AlwaysAllow: The performance of BPF decreased by about 0.1% compared to AppArmor.

The analysis results shows that although BPF generally exhibits slight performance degradation compared to AppArmor in different scenarios, the differences are relatively small. This indicates that BPF is a feasible alternative to AppArmor with acceptable performance overhead in security applications.
Below are the detailed test results for each scenario:
Phoronix-Apache
Requests Per Second-Higher is better
| Test Scenario | Apache Concurrent Requests 4 | Apache Concurrent Requests 20 | Apache Concurrent Requests 100 | Apache Concurrent Requests 200 | Apache Concurrent Requests 500 | Apache Concurrent Requests 1000 |
|---|---|---|---|---|---|---|
| NoProtect | 16838.6 | 17073.8 | 16961.78 | 16619.65 | 14029.19 | 11944.99 |
| AlwaysAllow AppArmor | 16469.41 | 16505.84 | 16764.14 | 16312.69 | 13750.24 | 11729.78 |
| AlwaysAllow BPF | 16452.94 | 16489.33 | 16747.38 | 16296.38 | 13736.49 | 11718.05 |
| RuntimeDefault AppArmor | 16376.54 | 16067.09 | 16461.39 | 16242.69 | 13385.87 | 11599.9 |
| RuntimeDefault BPF | 16360.16 | 16051.02 | 16444.93 | 16226.45 | 13372.48 | 11588.3 |
| Enhance AppArmor | 15833.43 | 15802.84 | 16385.19 | 16101.51 | 13276.16 | 11429.32 |
| Enhance BPF | 15817.6 | 15787.04 | 16368.8 | 16085.41 | 13262.88 | 11417.89 |
| Seccomp | 14882.43 | 15035.12 | 15454.24 | 15312.25 | 12870.28 | 11162.86 |
Phoronix-GIMP
Time Usage-Lower is better
| Test Scenario | GIMP Resize Times | GIMP RotateTimes | GIMP Auto-Levels Times | GIMP Unsharp-Mask Times |
|---|---|---|---|---|
| NoProtect | 16.616 | 11.842 | 16.543 | 19.888 |
| AlwaysAllow AppArmor | 16.672 | 11.951 | 16.658 | 20.04 |
| AlwaysAllow BPF | 16.872 | 12.094 | 16.858 | 20.28 |
| RuntimeDefault AppArmor | 16.737 | 11.977 | 16.734 | 20.221 |
| RuntimeDefault BPF | 16.762 | 12.044 | 16.887 | 20.289 |
| Enhance AppArmor | 16.855 | 11.958 | 16.814 | 20.312 |
| Enhance BPF | 16.876 | 12.101 | 16.947 | 20.411 |
| Seccomp | 16.915 | 12.863 | 18.082 | 21.096 |
Phoronix-Redis
Requests Per Second-Higher is better
| Test Scenario | GET Connection 50 | SETConnection 50 | GETConnection 500 | SET Connection 500 | LPOPConnection 500 |
|---|---|---|---|---|---|
| NoProtect | 2356517 | 1612305 | 1944514 | 1614023 | 2298349 |
| AlwaysAllow AppArmor | 2336892 | 1610689 | 1936035 | 1605186 | 2287682 |
| AlwaysAllow BPF | 2322870 | 1601025 | 1924418 | 1595555 | 2273956 |
| RuntimeDefault AppArmor | 2316004 | 1610480 | 1957586 | 1598156 | 2281477 |
| RuntimeDefault BPF | 2302108 | 1600817 | 1945840 | 1588567 | 2267788 |
| Enhance AppArmor | 2314458 | 1597515 | 1929528 | 1589630 | 2252763 |
| Enhance BPF | 2300571 | 1587930 | 1917951 | 1580093 | 2239246 |
| Seccomp | 2280476 | 1596606 | 1875229 | 1547045 | 2316358 |
Phoronix-Sysbench
Higher is better
| Test Scenario | SysbenchRam/Memory | SysbenchCPU |
|---|---|---|
| NoProtect | 4189.51 | 2831.65 |
| AlwaysAllow AppArmor | 4030.55 | 2821.5 |
| AlwaysAllow BPF | 4026.519 | 2818.679 |
| RuntimeDefault AppArmor | 4023.67 | 2818.7 |
| RuntimeDefault BPF | 4019.646 | 2815.881 |
| Enhance AppArmor | 3939.25 | 2808.13 |
| Enhance BPF | 3935.311 | 2805.322 |
| Seccomp | 4138.07 | 2832.87 |